Source of the articleCarefully selected IVD raw materials
A great deal of evidence indicates that mRNA therapy has greater advantages over other therapies, including:
Once it reaches the cytoplasm, mRNA can initiate protein translation. On the contrary, DNA needs to enter the nucleus first to complete transcription, and the generated mRNA can only function after leaving the nucleus. Therefore, the efficiency of DNA is lower than that of mRNA.
Compared with viral vectors, mRNA does not integrate into the genome but merely instantaneously expresses encoded proteins, thus offering higher safety.
This process is relatively simple and low-cost, and can quickly respond to various sudden diseases.
The autogenicity of mRNA transcribed in vitro is a problem that cannot be ignored. Exogenous RNA can be regarded as a signal of viral infection. Nucleotide chemical modification strategies can reduce immunogenicity without affecting its translation properties. For example, natural adenosine can be replaced with N1-methyladenosine (m1A) or N6-methyladenosine (m6A). Replace natural cytidine with 5-methylcytidine (m5C); Natural uridine was replaced with 5-methoxy-uridine (5moU), N1-methyl-pseudouridine (m1ψ), pseudouridine (ψ), etc. Among them, N1-methyl-pseuduridine (m1ψ), 5-methoxy-uridine (5moU), and pseuduridine (ψ) have attracted much attention, as both in vivo and in vitro experiments have shown that they not only effectively reduce the immunogenicity of mRNA but also significantly improve its translation efficiency.
Figure 1 shows various chemical modifications of mRNA
Introduction to Modified Nucleotides
Pseudo-UTP (Ψ)
Pseudouridine, the first modified ribonucleotide discovered 70 years ago, is derived from uridine through a base isomerization reaction, in which the nucleobase rotates 180° around the N3-C6 axis, causing a change in the nucleobase -sugar bond (from the N1-C1' bond to the C5-C1' bond). The resulting C-C bond allows the nuclebase to rotate more freely. Pseuduridine can pair bases with adenosine like uridine does, but pseuduridine can alter RNA structure by improving base pairing, base stacking and main chain stability. In 2005, Katalin Kariko et al. discovered that introducing pseuduridine into RNA could reduce its immunogenicity, and the immunogenicity of RNA decreased with the increase of the proportion of pseuduridine introduced. In 2008, Katalin Kariko et al. also discovered that completely replacing uridine mRNA with pseudouridine could not only greatly reduce the immunogenicity of mRNA, but also improve the stability of mRNA and enhance its translation ability.
Figure 2 Structural diagrams of pseuduridine and N1-methyl-pseuduridine
N1-Methylpseudo-UTP (m1Ψ)
N1-methyl-pseudouridine is a methyl pseudouridine, an N1-modified pseudouridine derivative, which is a natural modification found in 18S rRNA and tRNA in many organisms. N1-methyl-pseuduridine has a methyl group at the N1 position, thereby eliminating the additional hydrogen bond donor. Pseudouridine and N1-methyl-pseudouridine share a key common feature, namely the C5-C1' bond, which enables the rotation between the nucleobase and the sugar portion and may help improve base pairing, base stacking, and double-chain stability. Compared with uridine, N1-methyl-pseuduridine has A higher affinity for A-pairing and is less likely to activate PKR, thus translating more effectively. Moreover, N1-methyl-pseuduridine, which is structurally similar to pseuduridine, may also enable mRNA to evade immune responses. In 2015, Oliwia Andries et al. discovered that completely replacing uridine with N1-methyl-pseuduridine was more effective in reducing the immunogenicity of mRNA and enhancing the protein expression ability of mRNA than completely replacing uridine with pseuduridine.
N6-Methyl-ATP(m6A)
As early as the 1970s, scientists discovered the m6A modification in RNA. m6A is the most abundant internal modification in mRNA and long non-coding RNA in most eukaryotes. In 2012, scientists' research indicated that m6A modification is related to the stability, splicing processing and translation of mRNA. In 2018, Shinichiro Akichikade et al. also discovered that m6A can promote the translation of mRNA.
Figure 3 Schematic diagram of the function of m6A in mRNA
5-Methyl-CTP(m5C)
5-methylcytosine (m5C) has been discovered in the mRNA, rRNA and tRNA of various representative organisms. As a reversible epigenetic modification, the C modification of m5RNA affects the fate of the modified RNA molecule, including promoting mRNA stability, splicing and nucleoplasmic transport. Viral protein expression DNA damage repair mRNA stability Cell tolerance, proliferation and migration; The development, differentiation and reprogramming of stem cells. In addition, the distribution of m5C varies by cell type. The m5C modification at specific positions of mRNA exhibits different regulatory activities.
Figure 4 Schematic diagram of protein-mediated m5C modification
m5C modification is mainly mediated by three types of proteins, namely methyltransferases (writers), demethylases (erasers), and binding proteins (readers).
5-Methoxy-UTP(5moU)
5-methoxy-uridine (5moU) is a rare nucleoside. Adding 5-methoxy-uridine to RNA (mRNA) can reduce the immunogenicity of the resulting mRNA. In 2022, Hanieh Moradian et al. discovered that the chemical modification of uridine, especially 5-methoxy-uridine, showed the highest level of protein production, while the induction of inflammatory macrophage responses was negligible.

Figure 5 5moU promotes mRNA expression
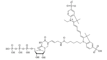
Cyanine 5-UTP (Cy5-UTP)
Cyanine 5-UTP (Cy5-UTP) can replace UTP as the substrate of T7 RNA polymerase.Marker probes were generated through in vitro transcription. The assembled mRNA will emit orange fluorescence with the participation of Cy5-UTP. This fluorescent probe can be applied to the study of mRNA distribution in animals through small animal in vivo imaging technology. In addition, the Cy5-labeled mRNA after gel electrophoresis is easily visible under ultraviolet light and does not require further staining. The probes generated by these methods are suitable for various applications, such as FISH, multi-color fluorescence analysis, especially the two-color expression array combined with Cy5-UTP。

Figure 6 Structural formula of Cy5-UTP
Classic application cases of modified nucleotides
The role of N1-methyl-pseuduridine in COVID-19 mRNA vaccines
In 2020, Pfizer-BioNTech and Moderna Therapeutics developed two novel vaccine platforms based on mRNA technology (comirnaty® and spikevax®), and they were the first vaccine platforms with an efficacy higher than 90%. Both are composed of mRNA modified by N1-methyl-pseuduridine encoding the SARS-COVID-19 Spike protein and are delivered using lipid nanoparticle (LNP) formulations.
Figure 7 N1-methyl-pseuduridine -modified COVID-19 mRNA vaccine
Figure 8 Schematic diagram of SARS-COVID mRNA vaccine inoculation
Figure 9 shows that N1-methyl-pseuduridine modification reduces the immunogenicity of synthesized mRNA
0756-8699969
Address: No. 88, Shuian 1st Road, Nanping Science and Technology Park, Xiangzhou District, Zhuhai City, Guangdong Province
Email: marketing@biori.com
Wechat official account |
Product consultation |
Join us |
Video Account |

