Preface
"DirectPCR (Direct PCR) is a reaction that amplifies biological samples directly without nucleic acid extraction and is one of the popular techniques in the field of molecular diagnosis at present. The main difference from conventional PCR lies in that samples can directly undergo PCR reactions without nucleic acid extraction. Therefore, there are higher requirements for the tolerance of enzymes involved in direct PCR reactions and the compatibility of buffers
Baorui
Direct expansion reagent
Stable/Sensitive/simple/compatible
TraditionalThe PCR reaction requires high-quality nucleic acids as the template for the reaction. If there are residual sample inhibitors or extraction reagent components in the template, it will inhibit the smooth progress of the PCR reaction. The nucleic acid detection reagent for PCR direct amplification launched by Baorui Biotechnology contains an innovative and unique formula, which can perform in-situ lysis and amplification of biological samples and ensure the accuracy of the results. This technology significantly reduces labor intensity, saves labor costs and experimental resources, and enhances detection efficiency.
No extraction requiredFreeze-dried
The entire process involves no heating and no nucleic acid extraction or purification. The samples can be directly used as templates for qPCR detection, and can be mixed and used immediately. We can provide conventional type/freeze-drying type/anti-pollution system formulas, and the specifications support personalized customization.
More stableHigh sensitivity
The minimum detection limit for HBV plasma/serum samples is 30IU/mL.
Widely applicableStrong compatibility
Both DNA and RNA can be directly expanded for detection, and it is compatible with conventional fluorescence quantitative PCR instruments and rapid fluorescence quantitative PCR instruments available on the market
DNA direct amplification reagent
Item Number:MD2091
2×SensiDirectPremix-UNG (Probe qPCR)
2×SensiDirectPremix Buffer(dUTP) 50×SensiDirectEnzyme/UNG Mix
Test report
Test One
1. Use DNA direct expansion reagent (MD2091) for dual detection of HBV and internal standard genes;
2. Compare and test the purification template, plasma template and serum template respectively.
Experimental method
The dosage of HBV purification template was 10µL/T (25µL reaction system), and the dosage of plasma template and serum template was 6.25µL/T (25µL reaction system).
Amplification program
SLAN-96P:50℃ 2min;95℃ 5min;50 Cycles(95℃ 10s,55℃ 40s)。
2.Experimental results
Amplification curve

Ct value statistics

Result analysis
The amplification effects of HBV plasma and HBV serum samples are comparable.
2. In terms of Ct values, the amplification of HBV pure templates is earlier than that of HBV plasma or serum templates. However, calculated by the equivalent template volume per well, the amplification efficiency of HBV pure templates is comparable to that of HBV plasma or serum templates.
Test Two
The linear range of HBV plasma templates was tested with DNA direct amplification reagent (MD2091), and the amplification efficiency of the reagent was evaluated.
Experimental method
HBV plasma template setting: 1.6×10⁷IU/mL, 2T; 1.6×10⁶IU/mL, 2T; 1.6×10⁵IU/mL, 2T; 1.6×10⁴IU/mL, 2T; 1.6×10³IU/mL, 2T;
Sample addition volume6.25µL/T (25µL system).
Amplification program
SLAN-96P:50℃ 2min;95℃ 5min;50 Cycles(95℃ 10s,55℃ 40s)。
2.Experimental results
Amplification curve

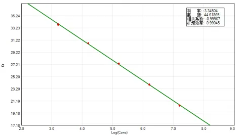
Fam channel standard curve

Ct value statistics

Result analysis
The correlation coefficient of the standard curve is -0.99967, indicating a good correlation and reliable results. The amplification efficiency of the reagent was 99.045%, indicating good repeatability of the duplicate Wells for each concentration gradient of HBV plasma and relatively consistent amplification efficiency of templates at different concentrations. The experimental results were stable, reliable and had good repeatability.
Related product recommendations

This series is yet to be completed. The next issue will be even more exciting!

0756-8699969
Address: No. 88, Shuian 1st Road, Nanping Science and Technology Park, Xiangzhou District, Zhuhai City, Guangdong Province
Email: marketing@biori.com
Wechat official account |
Product consultation |
Join us |
Video Account |

