Against the backdrop of the COVID-19 pandemic, the large-scale demand for grassroots testing has driven molecular POCT onto a fast development track and quickly onto the diagnostic stage. Molecular diagnostic POCT technology integrates molecular diagnostic technology and POCT technology. It has advantages such as rapidity, high sensitivity and specificity compared with traditional qPCR. At the same time, it breaks through the limitations of existing detection technologies on personnel and places, effectively shortening the detection time.
In the face of sudden major epidemics, POCT nucleic acid testing can be applied to more scenarios to enable on-site and timely testing of patients. Loop-mediated isothermal amplification (LAMP), developed by Eiken Chemical Co., Ltd. of Japan in 2000, is an isothermal nucleic acid amplification technology. In the past decade or so, it has become an ideal method suitable for molecular POCT platforms. This technology can complete the amplification of nucleic acids within one hour under constant temperature (60-65℃) conditions. It has the advantages of strong specificity, high sensitivity, rapid reaction and no reliance on special instruments and equipment.
The mind-bending technical principle: The core of loop-mediated isothermal amplification technology is DNA polymerase (Bst DNA polymerase), which simultaneously possesses polymerase activity and strand displacement activity. The reaction process mainly consists of two stages. The first stage is the initial structure generation stage. By using the internal and external primers to specifically recognize six different sites of the target sequence, the strand displacement reaction triggered by the extension of the external primer can displace the single-stranded DNA produced by the extension of the internal primer. Since the 5 'end of the internal primer is invertionally complementary to one of the segments of the target sequence, Therefore, the single-stranded DNA that is displaced can form a stem loop structure, and the dumbbell-shaped structure formed by the stem loops at both ends serves as the starting structure of the second stage. The formation of the stem ring structure is the key to the smooth progress of the reaction and is also the origin of the name of the loop-mediated isothermal amplification technology. The second stage is the cyclic amplification stage. Firstly, the 3 'end of the stem-ring structure self-pairs and extends. Then, the inner primers bind to the stem-ring region and extend, and are replaced by the self-pairs and extension of the other end of the stem-ring structure. Subsequently, the self-pairs and extensions and the inner primer-stem-ring pairs and extensions are continuously cycled and amplified in this way. The amplification speed of LAMP is extremely fast, reaching 10⁹ copies within one hour. If two ring primers are added on top of the original four primers, the amplification reaction time will be significantly shortened.
Borui has currently developed LAMP dye method detection kits and LAMP PH indicator method detection kits for DNA templates, as well as one-step RT-LAMP dye method detection kits and RT-LAMP PH indicator method detection kits for RNA templates. The buffer system has been optimized to effectively enhance the amplification reaction speed and yield, and it also has good stability.

Baorui BiologyLAMP Series
Dye method detection kit

"/01The LAMP dye method detection kit is used to detect λDNA
Experimental conditions
Instrument | SLAN-96P | "System" | DNA-LAMPDye method amplification system |
"Template | λDNA | Template increment | 0.05pg/T、0.5pg/T、5pg/T |
Reaction procedure | 65℃,60min(Fluorescence is collected every minute)95℃,2min | ||
Note0.05pg λDNA is approximately one copy.
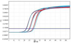
Experimental results

Note: Red, purple and blue represent respectivelyThe dosage of λDNA templates was 5pg/T, 0.5pg/T, and 0.05pg/T.
"/02The RT-LAMP dye method detection kit is used to detect the β-actin gene in human total RNA
Experimental conditions:
Instrument | SLAN-96P | "System" | RT-LAMPDye method amplification system |
"Template | "PersonRNA | Template increment | 0.01ng/T、0.1ng/T、1ng/T、10ng/T、100ng/T |
Reaction procedure | 65℃,60min(Fluorescence is collected every minute)95℃,2min | ||
Experimental results:
Note: Red, yellow, blue, green and purple represent respectivelyIncrements of human total RNA templates at 100ng/T, 10ng/T, 1ng/T, 0.1ng/T, and 0.01ng/T。

Ø Freeze-thaw stability
l Non-freeze-dried system
"/01λDNA test for freeze-thaw stability of non-freeze-dried systems
Experimental conditions:
Instrument | SLAN-96P | "System" | Amplification system by LAMP dye method |
"Template | λDNA | Template increment | 0.05pg/T、0.5pg/T、5pg/T |
Reaction procedure | 65℃, 60 minutes (fluorescence collection per minute), 95℃, 2 minutes | ||
Experimental results:
Freeze-thaw5time Freeze-thaw1"0 times Freeze-thaw1Five times



Note: Blue represents non-freeze-thaw reagents, while red represents freeze-thaw reagents. The template increment from left to right is:5pg/T、0.5pg/T 、0.05pg/T。
/02. β-actin gene test for freeze-thaw stability in non-freeze-dried systems
Experimental conditions:
Instrument | SLAN-96P | "System" | RT-LAMP dye amplification system |
"Template | "PersonRNA | Template increment | 1ng/T、10ng/T、100ng/T |
Reaction procedure | 65℃, 60 minutes (fluorescence collection per minute), 95℃, 2 minutes | ||
Experimental results:
Freeze-thaw5time Freeze-thaw1"0 times Freeze-thaw1Five times



NoteblueFor non-freeze-thaw reagentsredIt is a freeze-thaw reagent. The template additions from left to right are: 100ng/T, 10ng/T, and 1ng/T.
l Freeze-drying system
/01. λDNA testing can test the freeze-thaw stability of freeze-dried systems
Experimental conditions:
Instrument | SLAN-96P | "System" | LAMPDye method amplification system(DG) |
"Template | λDNA | Template increment | 0.05pg/T、0.5pg/T、5pg/T |
Reaction procedure | 65℃,60min(Fluorescence is collected every minute)95℃,2min | ||
ExperimentResult:
Freeze-thaw5time Freeze-thaw1"0 times Freeze-thaw1Five times



NoteblueFor non-freeze-thaw reagentsredIt is a freeze-thaw reagent. The template increment from left to right is:5pg/T、 0.5pg/T 、 0.05pg/T。
"/02βThe actin gene test can measure the freeze-thaw stability of the freeze-drying system
Experimental conditions:
Instrument | SLAN-96P | "System" | RT-LAMPDye method amplification system(DG) |
"Template | "PersonRNA | Template increment | 1ng/T、10ng/T、100ng/T |
Reaction procedure | 65℃,60min(Fluorescence is collected every minute)95℃,2min | ||
Experimental results:
Freeze-thaw5time Freeze-thaw1"0 times Freeze-thaw1Five times



Note: Blue represents non-freeze-thaw reagents, while red represents freeze-thaw reagents. The template increment from left to right is:100ng/T、10ng/T、1ng/T
Ø Accelerated stability
l Non-freeze-dried system
/01. λDNA test for accelerated stability of non-freeze-dried systems at 37℃
Experimental conditions:
Instrument | SLAN-96P | "System" | LAMPDye method amplification system |
"Template | λDNA | Template increment | 0.05pg/T、0.5pg/T、5pg/T |
Reaction procedure | 65℃,60min(Fluorescence is collected every minute)95℃,2min | ||
Experimental results:
37℃Accelerate6day

NoteBlue isReagents stored at 4℃, red ones are reagents accelerated at 37℃. The template additions from left to right are: 5pg/T, 0.5pg/T, and 0.05pg/T.
/02. β-actin gene test for accelerated stability of non-freeze-dried system at 37℃
Experimental conditions:
Instrument | SLAN-96P | "System" | RT-LAMP dye amplification system |
"Template | "PersonRNA | Template increment | 1ng/T、10ng/T、100ng/T |
Reaction procedure | 65℃, 60 minutes (fluorescence collection per minute), 95℃, 2 minutes | ||
Experimental results:
37℃Accelerate6day

Note: Blue representsReagents stored at 4℃, red ones are reagents accelerated at 37℃. The template additions from left to right are: 100ng/T, 10ng/T, and 1ng/T.
l Freeze-drying system
/01. The λDNA test can accelerate the stability of the freeze-dried system at 37℃
Instrument | SLAN-96P | "System" | LAMPDye amplification systemDG) |
"Template | λDNA | Template increment | 0.05pg/T、0.5pg/T、5pg/T |
Reaction procedure | 65℃,60min(Fluorescence is collected every minute)95℃,2min | ||
Experimental conditions:
37℃Accelerate7day

Note: Blue representsReagents stored at 4℃, red ones are reagents accelerated at 37℃. The template additions from left to right are: 5pg/T, 0.5pg/T, and 0.05pg/T.
"/02βThe actin gene test can accelerate the stability of the freeze-dried system at 37℃
Experimental conditions:
Instrument | SLAN-96P | "System" | RT-LAMPDye amplification systemDG) |
"Template | "PersonRNA | Template increment | 1ng/T、10ng/T、100ng/T |
Reaction procedure | 65℃,60min(Fluorescence is collected every minute)95℃,2min | ||
Experimental results:
37℃Accelerate7day

NoteblueReagents stored at 4℃ in colorredThe color is a reagent accelerated at 37℃. The template additions from left to right are: 100ng/T, 10ng/T, and 1ng/T.
l Freeze-dried powder
/01. λDNA detection: Accelerated stability of DNA-LAMP freeze-dried powder at 55℃
Experimental conditions:
Instrument | SLAN-96P | "System" | DNA-LAMPFreeze-drying system |
"Template | λDNA | Template increment | 0.05pg/T、0.5pg/T、5pg/T |
Reaction procedure | 65℃,60min(Fluorescence is collected every minute)95℃,2min | ||
Experimental results:
55℃Accelerate30day

NoteBlue represents the liquid reagents of the same batch, and red representsFreeze-dried powder accelerated at 55℃ for 30 days. The template additions from left to right are: 5pg/T, 0.5pg/T, and 0.05pg/T.
Comparison of the freeze-dried forms of reagents before and after acceleration

After freeze-drying 55℃Accelerate30day
"/02β-actin gene test for the accelerated stability of RT-LAMP freeze-dried powder at 55℃
Experimental conditions:
Instrument | SLAN-96P | "System" | RT-LAMPFreeze-drying system |
"Template | "PersonRNA | Template increment | 1ng/T、10ng/T、100ng/T |
Reaction procedure | 65℃,60min(Fluorescence is collected every minute)95℃,2min | ||
Experimental results:
55℃Accelerate30day

NoteThe blue ones are liquid reagents of the same batch, and the red ones are freeze-dried powders accelerated at 55℃ for 30 days. The template additions from left to right are: 100ng/T, 10ng/T, and 1ng/T.
Comparison of the freeze-dried forms of reagents before and after acceleration

After freeze-drying 55℃Accelerate30day
Constant-temperature amplificationPremix product
Serial number | Product Name | Item number |
1 | 2×Lamp Premix(R01Dye method | HW201-R01 |
2 | 2×Lamp Premix(M01/M02Visual method | HW201-M01*/M02* |
3 | Lamp Premix(R01)(DGThe dye method can be freeze-dried | FHW1001-R01 |
4 | Lamp Premix(M01/M02)(DGIt can be freeze-dried by visual inspection | FHW1001-M01/M02 |
5 | 2×RT Lamp Premix(R01Dye method | HW202-R01 |
6 | 2×RT Lamp Premix(M01/M02Visual method | HW202-M01/M02 |
7 | RT Lamp Premix(R01)(DGThe dye method can be freeze-dried | FHW1002-R01 |
8 | RT Lamp Premix(M01/M02)(DGIt can be freeze-dried by visual inspection | FHW1002-M01/M02 |
* M01Indicates red and yellow color changes;*M02Indicates a change in color between yellow and green.

0756-8699969
Address: No. 88, Shuian 1st Road, Nanping Science and Technology Park, Xiangzhou District, Zhuhai City, Guangdong Province
Email: marketing@biori.com
Wechat official account |
Product consultation |
Join us |
Video Account |

